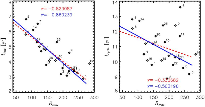
Solar Cycle Prediction / The review focuses on those aspects of the solar cycle prediction problem that have a.